CUSTOMER
电子分频器与功率分频器
电子分频器与功率分频器通称为分频器,是在大功率高质量扩声系统中使用的一种专用设备。从工作原理来分析,是对声频信号按照设定的频段进行分频处理,使各个频段减少干扰、降低失真,使高、中、低扬声器所发声音的层次更好,声音更清晰、更细腻。在20Hz—20kHz这么宽的人的听觉频带范围内,如果只使用一个扬声器而希望重放出高质的声音是十分困难的,也是不可能的,所以就出现了不同频段的扬声器,如高频、中频、低频及超低频扬声器等,力求在某一频段中使用一种扬声器来进行工作,然后分别用几个不同的扬声器组合起来实现整个频段(20Hz~20kHz)声音重现。当然,高频扬声器、中频扬声器及低频扬声器绝不能直接并联使用,因为高、中频扬声器承受功率较小,而低频扬声器承受功率很大,如果并联使用,就必然要烧坏高、中频单元。
PX-300分频器
分频器根据处理信号电流的大小、电压的高低以及分频电路在系统中所处的位置不同而分成两类:一类为电子分频器(有源网络),由电感、电容及放大电路组成,在功率放大器之前与均衡器的输出端连接;另一类为功率分频器,又称为分频器(无源网路),由电阻、电感和电容组成,在功率放大器的输出端与各频段的扬声器相连接。由于功率分频器处理的是高电压、大电流 的功率信号,因此只能用电阻、电感与电容网络来进行滤波处理,以达到分频的目的。
电子分频器通常都用在大型演出、广场音乐会以及迪斯科舞厅,它是通过高通、带通、低通滤波器分频放大,把分开的信号电压分别输出,然后接入功率放大器来驱动各处的扬声器。假如要重放两路立体声的节目,至少需要四个功率放大器。功率分频器是由高、低通滤波器和带通滤波器组成,如两分频器实际上是高通、低通滤波器的组合,三分频器则在中间再加一带通滤波器。它们都是由电感、电容及电阻等元件组成的。电感线圈在频率低时阻抗小,故低频信号容易通过,而高频信号不易通过,电容则却相反,频率低时阻抗大,所以低频信号不易通过,而高频信号则容易通过,因此,达到滤波或分频的目的。图8-3为定阻型两分频及三分频分频网络的电路。
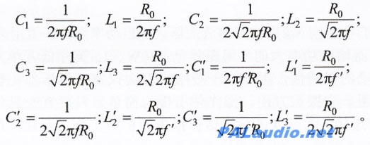
在图8-3中,各元件的参数为:

式中,f为低频扬声器与中频(或高频)扬声器的分频频率;f为中频扬声器与高频扬声器的分频频率;Ro为扬声器音圈阻抗。

【待续】